SV3-240情報(Wave Glider SV3)
このページでは、SV3-240の位置情報、電力情報、および気象観測結果を提供します。
SV3-240最新データ
基本データ
AMPS
【AMPS Summary】 【AMPS Output】 【AMPS Battery】 【AMPS Solar】 【AMPS Bridge】
AIS
システム情報
【NACK that includes an explanation (T27)】 【An ACK to a Write Console command (T3d)】 【Unsolicited Response (T60)】 【Event (T71)】 【Weather Station (T91)】
電力情報
図1:各種電力情報の時系列変化図。黒:出力電力、赤:太陽光発電電力、青:総バッテリ容量、緑:バッテリチャージ電力
Summary時系列
Output時系列
【AIS】 【Cell-Modem】 【Ethernet-Switch】 【Float-Recovery-Device】 【High-Voltage-Port】 【Iridium-Modem】 【LightBar】 【Radar-Reflector】 【S1Port】 【S2Port】 【S3Port】 【Ublox-GPS】 【VMC】 【Water-Speed-Sensor】 【Weather-Station】
Solar時系列
Battery時系列
Domain 1
【M16-P01】 【M16-P02】 【M17-P01】 【M17-P02】 【M18-P01】 【M18-P02】 【M19-P01】 【M19-P02】 【M20-P01】 【M20-P02】
Domain 2
【M16-P01】 【M16-P02】 【M17-P01】 【M17-P02】 【M18-P01】 【M18-P02】 【M19-P01】 【M19-P02】 【M20-P01】 【M20-P02】
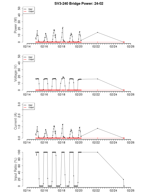
Bridge時系列
Domain 1
【D1-Vcons】 【D1-Vprod】 【G1-Vcons】 【G1-Vprod】 【G2-Vcons】 【G2-Vprod】 【G3-Vcons】 【G3-Vprod】 【Umbilical】 【M15-P02】
Domain 3
気象観測
図4:Weather Station観測データ
参考情報
- Mapの位置情報、およびデコードデータは1時間毎に更新されます。
- グラフの表示期間は最新のデータから遡って10日間です。